Канат стальной 3 мм ГОСТ 3063-80

44

Получите счет/КП

zakaz@inzvod.ru
КопироватьКопировать
В наличии

Обзор

Подробная информация о характеристиках, преимуществах и особенностях.
Изображение размеров/wa-data/public/shop/dim-images/kniga2-25-11.jpg
СтандартГОСТ 3063-80
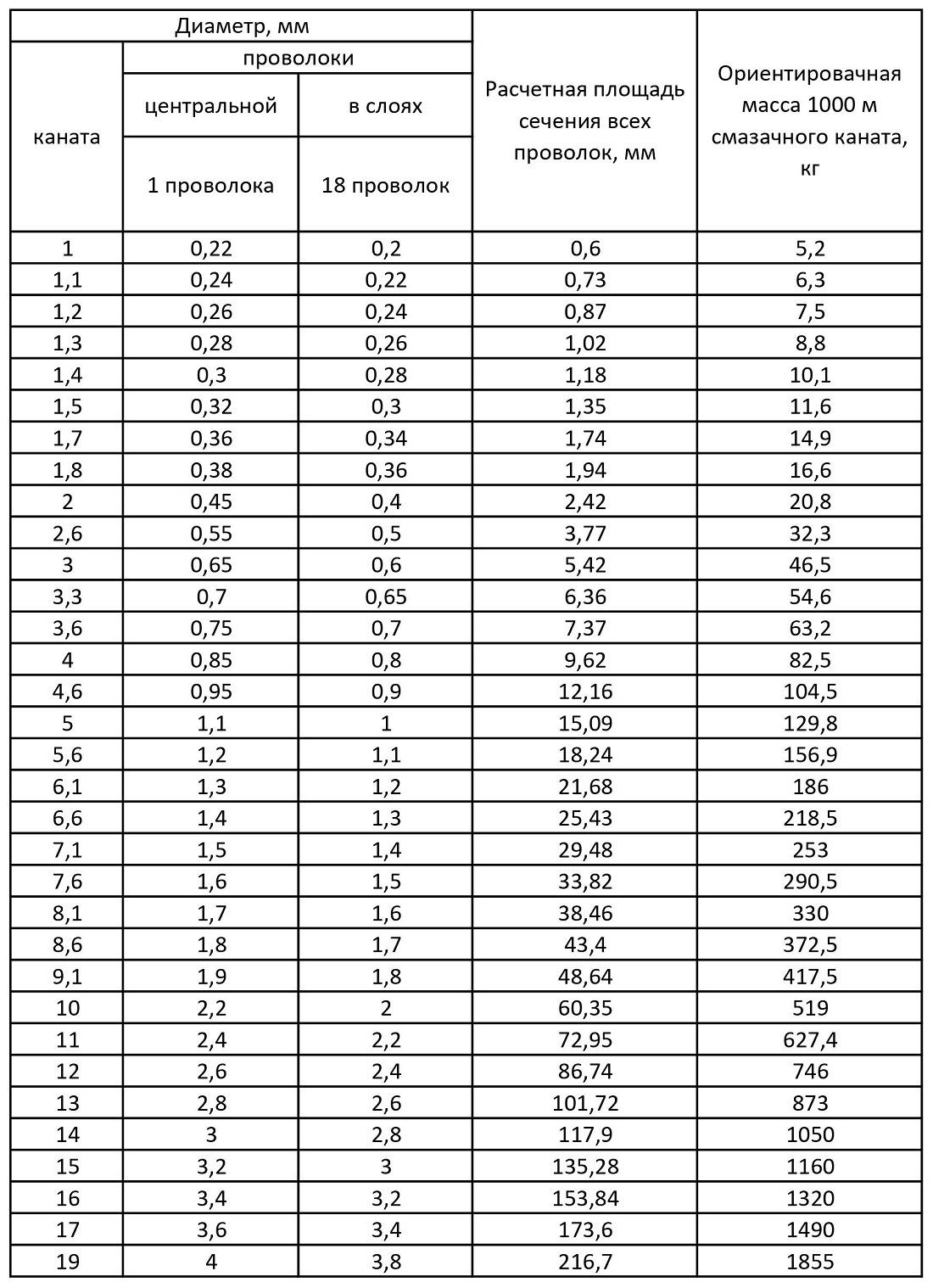
Диаметр3 мм
Конструкция1х19 (1+6+12)
Структура канатаОдинарная
Тип плетенияТК
Расшифровка плетенияТК - точечный контакт проволок между слоями
Способ поставкиБухта
Масса 1 м каната0,0465 кг
Масса 1000 м смазанного каната46,5 кг

Отзывы

Помогите другим пользователям с выбором - будьте первым, кто поделится своим мнением об этом товаре.

    Оставьте отзыв об этом товаре первым!

    0.00/ 5

    0
    0
    0
    0
    0

    ООО «Инжводострой» работает с юридическими лицами и индивидуальными предпринимателями.

    Все счета выставляются с НДС 20%.

    Оплата производится банковским переводом на расчётный счёт организации.

    Порядок работы:
    • Направьте заявку и реквизиты вашей организации любым удобным способом, указанным на сайте.
    • Получите счёт от менеджера компании.
    • Согласуйте условия доставки или самовывоза.

    Для постоянных клиентов предусмотрена возможность отсрочки платежа.

    Подробные условия уточняйте у менеджера нашей компании.